Translations of intuitionistic logic

From LLWiki
(Difference between revisions)
Jump to: navigation, search
m (Call-by-value Girard's translation A\imp B \mapsto \oc{(A\limp B)}: modified rule names)
m (Call-by-value translation A\imp B \mapsto \oc{(A\limp B)})
Line 300: Line 300:
 
(A\vee B)^v & = & \oc{(A^v\plus B^v)} \\
 
(A\vee B)^v & = & \oc{(A^v\plus B^v)} \\
 
F^v & = & \oc{\zero} \\
 
F^v & = & \oc{\zero} \\
(\forall\xi A)^v & = & \oc{(\forall\xi A^v)} \\
+
(\forall\xi A)^v & = & \oc{\forall\xi A^v} \\
(\exists\xi A)^v & = & \oc{(\exists\xi A^v)}
+
(\exists\xi A)^v & = & \oc{\exists\xi A^v}
 
\end{array}
 
\end{array}
 
</math>
 
</math>

Revision as of 00:38, 25 March 2009

The genesis of linear logic comes with a decomposition of the intuitionistic implication. Once linear logic properly defined, it corresponds to a translation of intuitionistic logic into linear logic, often called Girard's translation. In fact Jean-Yves Girard has defined two translations in his linear logic paper[1]. We call them the call-by-name translation and the call-by-value translation.

These translations can be extended to translations of classical logic into linear logic.

Contents

Call-by-name Girard's translation A\imp B \mapsto \oc{A}\limp B

Formulas are translated as:


\begin{array}{rcl}
X^n & = & X \\
(A\imp B)^n & = & \oc{A^n}\limp B^n \\
(A\wedge B)^n & = & A^n \with B^n \\
T^n & = & \top \\
(A\vee B)^n & = & \oc{A^n}\plus\oc{B^n} \\
F^n & = & \zero \\
(\forall\xi A)^n & = & \forall\xi A^n \\
(\exists\xi A)^n & = & \exists\xi \oc{A^n}
\end{array}

This is extended to sequents by (\Gamma\vdash A)^n = \oc{\Gamma^n}\vdash A^n.

This allows one to translate the rules of intuitionistic logic into linear logic:


\LabelRule{\rulename{ax}}
\NulRule{A\vdash A}
\DisplayProof
\qquad\mapsto\qquad
\LabelRule{\rulename{ax}}
\NulRule{A^n\vdash A^n}
\LabelRule{\oc L}
\UnaRule{\oc{A^n}\vdash A^n}
\DisplayProof



\AxRule{\Gamma\vdash A}
\AxRule{\Delta,A\vdash B}
\LabelRule{\rulename{cut}}
\BinRule{\Gamma,\Delta\vdash B}
\DisplayProof
\qquad\mapsto\qquad
\AxRule{\oc{\Gamma^n}\vdash A^n}
\LabelRule{\oc R}
\UnaRule{\oc{\Gamma^n}\vdash \oc{A^n}}
\AxRule{\oc{\Delta^n},\oc{A^n}\vdash B^n}
\LabelRule{\rulename{cut}}
\BinRule{\oc{\Gamma^n},\oc{\Delta^n}\vdash B^n}
\DisplayProof



\AxRule{\Gamma,A,A\vdash C}
\LabelRule{c L}
\UnaRule{\Gamma,A\vdash C}
\DisplayProof
\qquad\mapsto\qquad
\AxRule{\oc{\Gamma^n},\oc{A^n},\oc{A^n}\vdash C^n}
\LabelRule{\oc c L}
\UnaRule{\oc{\Gamma^n},\oc{A^n}\vdash C^n}
\DisplayProof



\AxRule{\Gamma\vdash C}
\LabelRule{w L}
\UnaRule{\Gamma,A\vdash C}
\DisplayProof
\qquad\mapsto\qquad
\AxRule{\oc{\Gamma^n}\vdash C^n}
\LabelRule{\oc w L}
\UnaRule{\oc{\Gamma^n},\oc{A^n}\vdash C^n}
\DisplayProof



\AxRule{\Gamma,A\vdash B}
\LabelRule{\imp R}
\UnaRule{\Gamma\vdash A\imp B}
\DisplayProof
\qquad\mapsto\qquad
\AxRule{\oc{\Gamma^n},\oc{A^n}\vdash B^n}
\LabelRule{\limp R}
\UnaRule{\oc{\Gamma^n}\vdash \oc{A^n}\limp B^n}
\DisplayProof



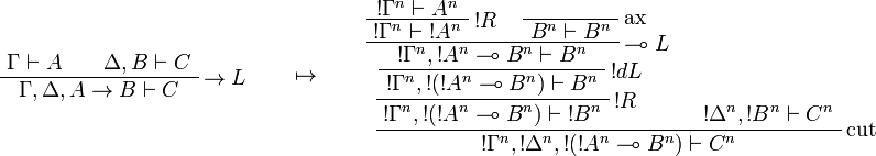
\AxRule{\Gamma\vdash A}
\AxRule{\Delta,B\vdash C}
\LabelRule{\imp L}
\BinRule{\Gamma,\Delta,A\imp B\vdash C}
\DisplayProof
\qquad\mapsto\qquad
\AxRule{\oc{\Gamma^n}\vdash A^n}
\LabelRule{\oc R}
\UnaRule{\oc{\Gamma^n}\vdash \oc{A^n}}
\LabelRule{\rulename{ax}}
\NulRule{B^n\vdash B^n}
\LabelRule{\limp L}
\BinRule{\oc{\Gamma^n},\oc{A^n}\limp B^n\vdash B^n}
\LabelRule{\oc d L}
\UnaRule{\oc{\Gamma^n},\oc{(\oc{A^n}\limp B^n)}\vdash B^n}
\LabelRule{\oc R}
\UnaRule{\oc{\Gamma^n},\oc{(\oc{A^n}\limp B^n)}\vdash \oc{B^n}}
\AxRule{\oc{\Delta^n},\oc{B^n}\vdash C^n}
\LabelRule{\rulename{cut}}
\BinRule{\oc{\Gamma^n},\oc{\Delta^n},\oc{(\oc{A^n}\limp B^n)}\vdash C^n}
\DisplayProof



\AxRule{\Gamma\vdash A}
\AxRule{\Gamma\vdash B}
\LabelRule{\wedge R}
\BinRule{\Gamma\vdash A\wedge B}
\DisplayProof
\qquad\mapsto\qquad
\AxRule{\oc{\Gamma^n}\vdash A^n}
\AxRule{\oc{\Gamma^n}\vdash B^n}
\LabelRule{\with R}
\BinRule{\oc{\Gamma^n}\vdash A^n\with B^n}
\DisplayProof



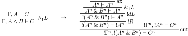
\AxRule{\Gamma,A\vdash C}
\LabelRule{\wedge_1 L}
\UnaRule{\Gamma,A\wedge B\vdash C}
\DisplayProof
\qquad\mapsto\qquad
\LabelRule{\rulename{ax}}
\NulRule{A^n\vdash A^n}
\LabelRule{\with_1 L}
\UnaRule{A^n\with B^n\vdash A^n}
\LabelRule{\oc d L}
\UnaRule{\oc{(A^n\with B^n)}\vdash A^n}
\LabelRule{\oc R}
\UnaRule{\oc{(A^n\with B^n)}\vdash \oc{A^n}}
\AxRule{\oc{\Gamma^n},\oc{A^n}\vdash C^n}
\LabelRule{\rulename{cut}}
\BinRule{\oc{\Gamma^n},\oc{(A^n\with B^n)}\vdash C^n}
\DisplayProof



\LabelRule{T R}
\NulRule{\Gamma\vdash T}
\DisplayProof
\qquad\mapsto\qquad
\LabelRule{\top R}
\NulRule{\oc{\Gamma^n}\vdash \top}
\DisplayProof



\AxRule{\Gamma\vdash A}
\LabelRule{\vee_1 R}
\UnaRule{\Gamma\vdash A\vee B}
\DisplayProof
\qquad\mapsto\qquad
\AxRule{\oc{\Gamma^n}\vdash A^n}
\LabelRule{\oc R}
\UnaRule{\oc{\Gamma^n}\vdash \oc{A^n}}
\LabelRule{\plus_1 R}
\UnaRule{\oc{\Gamma^n}\vdash \oc{A^n}\plus\oc{B^n}}
\DisplayProof



\AxRule{\Gamma,A\vdash C}
\AxRule{\Gamma,B\vdash C}
\LabelRule{\vee L}
\BinRule{\Gamma,A\vee B\vdash C}
\DisplayProof
\qquad\mapsto\qquad
\AxRule{\oc{\Gamma^n},\oc{A^n}\vdash C^n}
\AxRule{\oc{\Gamma^n},\oc{B^n}\vdash C^n}
\LabelRule{\plus L}
\BinRule{\oc{\Gamma^n},\oc{A^n}\plus\oc{B^n}\vdash C^n}
\LabelRule{\oc d L}
\UnaRule{\oc{\Gamma^n},\oc{(\oc{A^n}\plus\oc{B^n})}\vdash C^n}
\DisplayProof



\LabelRule{F L}
\NulRule{\Gamma,F\vdash C}
\DisplayProof
\qquad\mapsto\qquad
\LabelRule{\zero L}
\NulRule{\oc{\Gamma^n},\zero\vdash C^n}
\LabelRule{\oc d L}
\UnaRule{\oc{\Gamma^n},\oc{\zero}\vdash C^n}
\DisplayProof



\AxRule{\Gamma\vdash A}
\LabelRule{\forall R}
\UnaRule{\Gamma\vdash \forall\xi A}
\DisplayProof
\qquad\mapsto\qquad
\AxRule{\oc{\Gamma^n}\vdash A^n}
\LabelRule{\forall R}
\UnaRule{\oc{\Gamma^n}\vdash \forall\xi A^n}
\DisplayProof



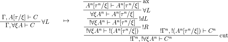
\AxRule{\Gamma,A[\tau/\xi]\vdash C}
\LabelRule{\forall L}
\UnaRule{\Gamma,\forall\xi A\vdash C}
\DisplayProof
\qquad\mapsto\qquad
\LabelRule{\rulename{ax}}
\NulRule{A^n[\tau^n/\xi]\vdash A^n[\tau^n/\xi]}
\LabelRule{\forall L}
\UnaRule{\forall\xi A^n\vdash A^n[\tau^n/\xi]}
\LabelRule{\oc d L}
\UnaRule{\oc{\forall\xi A^n}\vdash A^n[\tau^n/\xi]}
\LabelRule{\oc R}
\UnaRule{\oc{\forall\xi A^n}\vdash \oc{(A^n[\tau^n/\xi])}}
\AxRule{\oc{\Gamma^n},\oc{(A^n[\tau^n/\xi])}\vdash C^n}
\LabelRule{\rulename{cut}}
\BinRule{\oc{\Gamma^n},\oc{\forall\xi A^n}\vdash C^n}
\DisplayProof



\AxRule{\Gamma\vdash A[\tau/\xi]}
\LabelRule{\exists R}
\UnaRule{\Gamma\vdash \exists\xi A}
\DisplayProof
\qquad\mapsto\qquad
\AxRule{\oc{\Gamma^n}\vdash A^n[\tau^n/\xi]}
\LabelRule{\oc R}
\UnaRule{\oc{\Gamma^n}\vdash \oc{(A^n[\tau^n/\xi])}}
\LabelRule{\exists R}
\UnaRule{\oc{\Gamma^n}\vdash \exists\xi\oc{A^n}}
\DisplayProof



\AxRule{\Gamma,A\vdash C}
\LabelRule{\exists L}
\UnaRule{\Gamma,\exists\xi A\vdash C}
\DisplayProof
\qquad\mapsto\qquad
\AxRule{\oc{\Gamma^n},\oc{A^n}\vdash C^n}
\LabelRule{\exists L}
\UnaRule{\oc{\Gamma^n},\exists\xi\oc{A^n}\vdash C^n}
\LabelRule{\oc d L}
\UnaRule{\oc{\Gamma^n},\oc{\exists\xi\oc{A^n}}\vdash C^n}
\DisplayProof

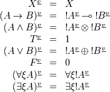
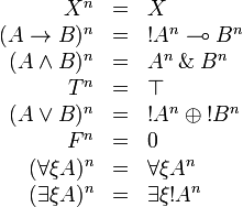
Call-by-value translation A\imp B \mapsto \oc{(A\limp B)}

Formulas are translated as:


\begin{array}{rcl}
X^v & = & \oc{X} \\
(A\imp B)^v & = & \oc{(A^v\limp B^v)} \\
(A\wedge B)^v & = & \oc{(A^v \tens B^v)} \\
T^v & = & \oc{\one} \\
(A\vee B)^v & = & \oc{(A^v\plus B^v)} \\
F^v & = & \oc{\zero} \\
(\forall\xi A)^v & = & \oc{\forall\xi A^v} \\
(\exists\xi A)^v & = & \oc{\exists\xi A^v}
\end{array}

The translation of any formula starts with \oc, we define A^{\underline{v}} such that A^v=\oc{A^{\underline{v}}}.

The translation of sequents is (\Gamma\vdash A)^v = \Gamma^v\vdash A^v.

This allows one to translate the rules of intuitionistic logic into linear logic:


\LabelRule{\rulename{ax}}
\NulRule{A\vdash A}
\DisplayProof
\qquad\mapsto\qquad
\LabelRule{\rulename{ax}}
\NulRule{A^v\vdash A^v}
\DisplayProof



\AxRule{\Gamma\vdash A}
\AxRule{\Delta,A\vdash B}
\LabelRule{\rulename{cut}}
\BinRule{\Gamma,\Delta\vdash B}
\DisplayProof
\qquad\mapsto\qquad
\AxRule{\Gamma^v\vdash A^v}
\AxRule{\Delta^v,A^v\vdash B^v}
\LabelRule{\rulename{cut}}
\BinRule{\Gamma^v,\Delta^v\vdash B^v}
\DisplayProof



\AxRule{\Gamma,A,A\vdash C}
\LabelRule{c L}
\UnaRule{\Gamma,A\vdash C}
\DisplayProof
\qquad\mapsto\qquad
\AxRule{\Gamma^v,A^v,A^v\vdash C^v}
\LabelRule{\oc c L}
\UnaRule{\Gamma^v,A^v\vdash C^v}
\DisplayProof



\AxRule{\Gamma\vdash C}
\LabelRule{w L}
\UnaRule{\Gamma,A\vdash C}
\DisplayProof
\qquad\mapsto\qquad
\AxRule{\Gamma^v\vdash C^v}
\LabelRule{\oc w L}
\UnaRule{\Gamma^v,A^v\vdash C^v}
\DisplayProof



\AxRule{\Gamma,A\vdash B}
\LabelRule{\imp R}
\UnaRule{\Gamma\vdash A\imp B}
\DisplayProof
\qquad\mapsto\qquad
\AxRule{\Gamma^v,A^v\vdash B^v}
\LabelRule{\limp R}
\UnaRule{\Gamma^v\vdash A^v\limp B^v}
\LabelRule{\oc R}
\UnaRule{\Gamma^v\vdash \oc{(A^v\limp B^v)}}
\DisplayProof



\AxRule{\Gamma\vdash A}
\AxRule{\Delta,B\vdash C}
\LabelRule{\imp L}
\BinRule{\Gamma,\Delta,A\imp B\vdash C}
\DisplayProof
\qquad\mapsto\qquad
\AxRule{\Gamma^v\vdash A^v}
\AxRule{\Delta^v,B^v\vdash C^v}
\LabelRule{\limp L}
\BinRule{\Gamma^v,\Delta^v,A^v\limp B^v\vdash C^v}
\LabelRule{\oc L}
\UnaRule{\Gamma^v,\Delta^v,\oc{(A^v\limp B^v)}\vdash C^v}
\DisplayProof



\AxRule{\Gamma\vdash A}
\AxRule{\Delta\vdash B}
\LabelRule{\wedge R}
\BinRule{\Gamma,\Delta\vdash A\wedge B}
\DisplayProof
\qquad\mapsto\qquad
\AxRule{\Gamma^v\vdash A^v}
\AxRule{\Delta^v\vdash B^v}
\LabelRule{\tens R}
\BinRule{\Gamma^v,\Delta^v\vdash A^v\tens B^v}
\LabelRule{\oc R}
\UnaRule{\Gamma^v,\Delta^v\vdash \oc{(A^v\tens B^v)}}
\DisplayProof



\AxRule{\Gamma,A,B\vdash C}
\LabelRule{\wedge L}
\UnaRule{\Gamma,A\wedge B\vdash C}
\DisplayProof
\qquad\mapsto\qquad
\AxRule{\Gamma^v,A^v,B^v\vdash C^v}
\LabelRule{\tens L}
\UnaRule{\Gamma^v,A^v\tens B^v\vdash C^v}
\LabelRule{\oc L}
\UnaRule{\Gamma^v,\oc{(A^v\tens B^v)}\vdash C^v}
\DisplayProof



\LabelRule{T R}
\NulRule{{}\vdash T}
\DisplayProof
\qquad\mapsto\qquad
\LabelRule{\one R}
\NulRule{{}\vdash \one}
\LabelRule{\oc R}
\UnaRule{{}\vdash \oc{\one}}
\DisplayProof



\AxRule{\Gamma\vdash A}
\LabelRule{\vee_1 R}
\UnaRule{\Gamma\vdash A\vee B}
\DisplayProof
\qquad\mapsto\qquad
\AxRule{\Gamma^v\vdash A^v}
\LabelRule{\plus_1 R}
\UnaRule{\Gamma^v\vdash A^v\plus B^v}
\LabelRule{\oc R}
\UnaRule{\Gamma^v\vdash \oc{(A^v\plus B^v)}}
\DisplayProof



\AxRule{\Gamma,A\vdash C}
\AxRule{\Gamma,B\vdash C}
\LabelRule{\vee L}
\BinRule{\Gamma,A\vee B\vdash C}
\DisplayProof
\qquad\mapsto\qquad
\AxRule{\Gamma^v,A^v\vdash C^v}
\AxRule{\Gamma^v,B^v\vdash C^v}
\LabelRule{\plus L}
\BinRule{\Gamma^v,A^v\plus B^v\vdash C^v}
\LabelRule{\oc d L}
\UnaRule{\Gamma^v,\oc{(A^v\plus B^v)}\vdash C^v}
\DisplayProof



\LabelRule{F L}
\NulRule{\Gamma,F\vdash C}
\DisplayProof
\qquad\mapsto\qquad
\LabelRule{\zero L}
\NulRule{\Gamma^v,\zero\vdash C^v}
\LabelRule{\oc d L}
\UnaRule{\Gamma^v,\oc{\zero}\vdash C^v}
\DisplayProof



\AxRule{\Gamma\vdash A}
\LabelRule{\forall R}
\UnaRule{\Gamma\vdash \forall\xi A}
\DisplayProof
\qquad\mapsto\qquad
\AxRule{\Gamma^v\vdash A^v}
\LabelRule{\forall R}
\UnaRule{\Gamma^v\vdash \forall\xi A^v}
\LabelRule{\oc R}
\UnaRule{\Gamma^v\vdash \oc{\forall\xi A^v}}
\DisplayProof


We use (A[\tau/\xi])^v=A^v[\tau^{\underline{v}}/\xi].


\AxRule{\Gamma,A[\tau/\xi]\vdash C}
\LabelRule{\forall L}
\UnaRule{\Gamma,\forall\xi A\vdash C}
\DisplayProof
\qquad\mapsto\qquad
\AxRule{\Gamma^v,A^v[\tau^{\underline{v}}/\xi]\vdash C^v}
\LabelRule{\forall L}
\UnaRule{\Gamma^v,\forall\xi A^v\vdash C^v}
\LabelRule{\oc L}
\UnaRule{\Gamma^v,\oc{(\forall\xi A^v)}\vdash C^v}
\DisplayProof



\AxRule{\Gamma\vdash A[\tau/\xi]}
\LabelRule{\exists R}
\UnaRule{\Gamma\vdash \exists\xi A}
\DisplayProof
\qquad\mapsto\qquad
\AxRule{\Gamma^v\vdash A^v[\tau^{\underline{v}}/\xi]}
\LabelRule{\exists R}
\UnaRule{\Gamma^v\vdash \exists\xi A^v}
\LabelRule{\oc R}
\UnaRule{\Gamma^v\vdash \oc{\exists\xi A^v}}
\DisplayProof



\AxRule{\Gamma,A\vdash C}
\LabelRule{\exists L}
\UnaRule{\Gamma,\exists\xi A\vdash C}
\DisplayProof
\qquad\mapsto\qquad
\AxRule{\Gamma^v,A^v\vdash C^v}
\LabelRule{\exists L}
\UnaRule{\Gamma^v,\exists\xi A^v\vdash C^v}
\LabelRule{\oc d L}
\UnaRule{\Gamma^v,\oc{\exists\xi A^v}\vdash C^v}
\DisplayProof


Alternative presentation

It is also possible to define A^{\underline{v}} as the primitive construction.


\begin{array}{rcl}
X^{\underline{v}} & = & X \\
(A\imp B)^{\underline{v}} & = & \oc{A^{\underline{v}}}\limp\oc{B^{\underline{v}}} \\
(A\wedge B)^{\underline{v}} & = & \oc{A^{\underline{v}}}\tens\oc{B^{\underline{v}}} \\
T^{\underline{v}} & = & \one \\
(A\vee B)^{\underline{v}} & = & \oc{A^{\underline{v}}}\plus\oc{B^{\underline{v}}} \\
F^{\underline{v}} & = & \zero \\
(\forall\xi A)^{\underline{v}} & = & \forall\xi \oc{A^{\underline{v}}} \\
(\exists\xi A)^{\underline{v}} & = & \exists\xi \oc{A^{\underline{v}}}
\end{array}

If we define (\Gamma\vdash A)^{\underline{v}} = \oc{\Gamma^{\underline{v}}}\vdash\oc{A^{\underline{v}}}, we have (\Gamma\vdash A)^{\underline{v}} = (\Gamma\vdash A)^v and thus we obtain the same translation of proofs.

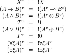
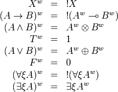
Call-by-value Girard's translation A\imp B \mapsto \oc{(A\limp B)}

The original version of the call-by-value translation given by Jean-Yves Girard[1] is an optimisation of the previous one using properties of positive formulas.

Formulas are translated as:


\begin{array}{rcl}
X^w & = & \oc{X} \\
(A\imp B)^w & = & \oc{(A^w\limp B^w)} \\
(A\wedge B)^w & = & A^w \tens B^w \\
T^w & = & \one \\
(A\vee B)^w & = & A^w\plus B^w \\
F^w & = & \zero \\
(\forall\xi A)^w & = & \oc{(\forall\xi A^w)} \\
(\exists\xi A)^w & = & \exists\xi A^w
\end{array}

The translation of any formula is a positive formula.

The translation of sequents is (\Gamma\vdash A)^w = \Gamma^w\vdash A^w.

This allows one to translate the rules of intuitionistic logic into linear logic:


\LabelRule{\rulename{ax}}
\NulRule{A\vdash A}
\DisplayProof
\qquad\mapsto\qquad
\LabelRule{\rulename{ax}}
\NulRule{A^w\vdash A^w}
\DisplayProof



\AxRule{\Gamma\vdash A}
\AxRule{\Delta,A\vdash B}
\LabelRule{\rulename{cut}}
\BinRule{\Gamma,\Delta\vdash B}
\DisplayProof
\qquad\mapsto\qquad
\AxRule{\Gamma^w\vdash A^w}
\AxRule{\Delta^w,A^w\vdash B^w}
\LabelRule{\rulename{cut}}
\BinRule{\Gamma^w,\Delta^w\vdash B^w}
\DisplayProof



\AxRule{\Gamma,A,A\vdash C}
\LabelRule{c L}
\UnaRule{\Gamma,A\vdash C}
\DisplayProof
\qquad\mapsto\qquad
\AxRule{\Gamma^w,A^w,A^w\vdash C^w}
\LabelRule{+ c L}
\UnaRule{\Gamma^w,A^w\vdash C^w}
\DisplayProof



\AxRule{\Gamma\vdash C}
\LabelRule{w L}
\UnaRule{\Gamma,A\vdash C}
\DisplayProof
\qquad\mapsto\qquad
\AxRule{\Gamma^w\vdash C^w}
\LabelRule{+ w L}
\UnaRule{\Gamma^w,A^w\vdash C^w}
\DisplayProof



\AxRule{\Gamma,A\vdash B}
\LabelRule{\imp R}
\UnaRule{\Gamma\vdash A\imp B}
\DisplayProof
\qquad\mapsto\qquad
\AxRule{\Gamma^w,A^w\vdash B^w}
\LabelRule{\limp R}
\UnaRule{\Gamma^w\vdash A^w\limp B^w}
\LabelRule{+ \oc R}
\UnaRule{\Gamma^w\vdash \oc{(A^w\limp B^w)}}
\DisplayProof



\AxRule{\Gamma\vdash A}
\AxRule{\Delta,B\vdash C}
\LabelRule{\imp L}
\BinRule{\Gamma,\Delta,A\imp B\vdash C}
\DisplayProof
\qquad\mapsto\qquad
\AxRule{\Gamma^w\vdash A^w}
\AxRule{\Delta^w,B^w\vdash C^w}
\LabelRule{\limp L}
\BinRule{\Gamma^w,\Delta^w,A^w\limp B^w\vdash C^w}
\LabelRule{\oc L}
\UnaRule{\Gamma^w,\Delta^w,\oc{(A^w\limp B^w)}\vdash C^w}
\DisplayProof



\AxRule{\Gamma\vdash A}
\AxRule{\Delta\vdash B}
\LabelRule{\wedge R}
\BinRule{\Gamma,\Delta\vdash A\wedge B}
\DisplayProof
\qquad\mapsto\qquad
\AxRule{\Gamma^w\vdash A^w}
\AxRule{\Delta^w\vdash B^w}
\LabelRule{\tens R}
\BinRule{\Gamma^w,\Delta^w\vdash A^w\tens B^w}
\DisplayProof



\AxRule{\Gamma,A,B\vdash C}
\LabelRule{\wedge L}
\UnaRule{\Gamma,A\wedge B\vdash C}
\DisplayProof
\qquad\mapsto\qquad
\AxRule{\Gamma^w,A^w,B^w\vdash C^w}
\LabelRule{\tens L}
\UnaRule{\Gamma^w,A^w\tens B^w\vdash C^w}
\DisplayProof



\LabelRule{T R}
\NulRule{{}\vdash T}
\DisplayProof
\qquad\mapsto\qquad
\LabelRule{\one R}
\NulRule{{}\vdash \one}
\DisplayProof



\AxRule{\Gamma\vdash A}
\LabelRule{\vee_1 R}
\UnaRule{\Gamma\vdash A\vee B}
\DisplayProof
\qquad\mapsto\qquad
\AxRule{\Gamma^w\vdash A^w}
\LabelRule{\plus_1 R}
\UnaRule{\Gamma^w\vdash A^w\plus B^w}
\DisplayProof



\AxRule{\Gamma,A\vdash C}
\AxRule{\Gamma,B\vdash C}
\LabelRule{\vee L}
\BinRule{\Gamma,A\vee B\vdash C}
\DisplayProof
\qquad\mapsto\qquad
\AxRule{\Gamma^w,A^w\vdash C^w}
\AxRule{\Gamma^w,B^w\vdash C^w}
\LabelRule{\plus L}
\BinRule{\Gamma^w,A^w\plus B^w\vdash C^w}
\DisplayProof



\LabelRule{F L}
\NulRule{\Gamma,F\vdash C}
\DisplayProof
\qquad\mapsto\qquad
\LabelRule{\zero L}
\NulRule{\Gamma^w,\zero\vdash C^w}
\DisplayProof



\AxRule{\Gamma\vdash A}
\LabelRule{\forall R}
\UnaRule{\Gamma\vdash \forall\xi A}
\DisplayProof
\qquad\mapsto\qquad
\AxRule{\Gamma^w\vdash A^w}
\LabelRule{\forall R}
\UnaRule{\Gamma^w\vdash \forall\xi A^w}
\LabelRule{+ \oc R}
\UnaRule{\Gamma^w\vdash \oc{\forall\xi A^w}}
\DisplayProof


We use (A[\tau/\xi])^w\linequiv A^w[\tau^w/\xi].


\AxRule{\Gamma,A[\tau/\xi]\vdash C}
\LabelRule{\forall L}
\UnaRule{\Gamma,\forall\xi A\vdash C}
\DisplayProof
\qquad\mapsto\qquad
\AxRule{\Gamma^w,(A[\tau/\xi])^w\vdash C^w}
\UnaRule{\Gamma^w,A^w[\tau^w/\xi]\vdash C^w}
\LabelRule{\forall L}
\UnaRule{\Gamma^w,\forall\xi A^w\vdash C^w}
\LabelRule{\oc L}
\UnaRule{\Gamma^w,\oc{(\forall\xi A^w)}\vdash C^w}
\DisplayProof



\AxRule{\Gamma\vdash A[\tau/\xi]}
\LabelRule{\exists R}
\UnaRule{\Gamma\vdash \exists\xi A}
\DisplayProof
\qquad\mapsto\qquad
\AxRule{\Gamma^w\vdash (A[\tau/\xi])^w}
\UnaRule{\Gamma^w\vdash A^w[\tau^w/\xi]}
\LabelRule{\exists R}
\UnaRule{\Gamma^w\vdash \exists\xi A^w}
\DisplayProof



\AxRule{\Gamma,A\vdash C}
\LabelRule{\exists L}
\UnaRule{\Gamma,\exists\xi A\vdash C}
\DisplayProof
\qquad\mapsto\qquad
\AxRule{\Gamma^w,A^w\vdash C^w}
\LabelRule{\exists L}
\UnaRule{\Gamma^w,\exists\xi A^w\vdash C^w}
\DisplayProof

References

  1. 1.0 1.1 Girard, Jean-Yves. Linear logic. Theoretical Computer Science. Volume 50, Issue 1, pp. 1-101, doi:10.1016/0304-3975(87)90045-4, 1987.
Personal tools