Translations of intuitionistic logic
m (→Call-by-value Girard's translation A\imp B \mapsto \oc{(A\limp B)}: typos) |
m (→Call-by-value translation A\imp B \mapsto \oc{(A\limp B)}: T L rule) |
||
| Line 444: | Line 444: | ||
\LabelRule{\oc R} |
\LabelRule{\oc R} |
||
\UnaRule{{}\vdash \oc{\one}} |
\UnaRule{{}\vdash \oc{\one}} |
||
| + | \DisplayProof |
||
| + | </math> |
||
| + | |||
| + | <br /> |
||
| + | |||
| + | <math> |
||
| + | \AxRule{\Gamma\vdash C} |
||
| + | \LabelRule{T L} |
||
| + | \UnaRule{\Gamma,T\vdash C} |
||
| + | \DisplayProof |
||
| + | \qquad\mapsto\qquad |
||
| + | \AxRule{\Gamma^v\vdash C^v} |
||
| + | \LabelRule{\one L} |
||
| + | \UnaRule{\Gamma^v,\one\vdash C^v} |
||
| + | \LabelRule{\oc d L} |
||
| + | \UnaRule{\Gamma^v,\oc{\one}\vdash C^v} |
||
\DisplayProof |
\DisplayProof |
||
</math> |
</math> |
||
Latest revision as of 22:25, 5 October 2009
The genesis of linear logic comes with a decomposition of the intuitionistic implication. Once linear logic properly defined, it corresponds to a translation of intuitionistic logic into linear logic, often called Girard's translation. In fact Jean-Yves Girard has defined two translations in his linear logic paper[1]. We call them the call-by-name translation and the call-by-value translation.
These translations can be extended to translations of classical logic into linear logic.
Contents |
[edit] Call-by-name Girard's translation
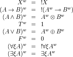
Formulas are translated as:
This is extended to sequents by
.
This allows one to translate the rules of intuitionistic logic into linear logic:
[edit] Call-by-value translation
Formulas are translated as:
The translation of any formula starts with
, we define
such that
.
The translation of sequents is
.
This allows one to translate the rules of intuitionistic logic into linear logic:
We use
.
[edit] Alternative presentation
It is also possible to define
as the primitive construction.
If we define
, we have
and thus we obtain the same translation of proofs.
[edit] Call-by-value Girard's translation
The original version of the call-by-value translation given by Jean-Yves Girard[1] is an optimisation of the previous one using properties of positive formulas.
Formulas are translated as:
The translation of any formula is a positive formula.
The translation of sequents is
.
This allows one to translate the rules of intuitionistic logic into linear logic:
We use
.
[edit] References
- ↑ 1.0 1.1 Girard, Jean-Yves. Linear logic. Theoretical Computer Science. Volume 50, Issue 1, pp. 1-101, doi:10.1016/0304-3975(87)90045-4, 1987.