GoI for MELL: partial isometries

From LLWiki
Jump to: navigation, search

Contents

Operators, partial isometries

We will denote by H the Hilbert space \ell^2(\mathbb{N}) of sequences (x_n)_{n\in\mathbb{N}} of complex numbers such that the series \sum_{n\in\mathbb{N}}|x_n|^2 converges. If x = (x_n)_{n\in\mathbb{N}} and y = (y_n)_{n\in\mathbb{N}} are two vectors of H their scalar product is:

\langle x, y\rangle = \sum_{n\in\mathbb{N}} x_n\bar y_n.

Two vectors of H are othogonal if their scalar product is nul. We will say that two subspaces are disjoint when any two vectors taken in each subspace are orthorgonal. Note that this notion is different from the set theoretic one, in particular two disjoint subspaces always have exactly one vector in common: 0.

The norm of a vector is the square root of the scalar product with itself:

\|x\| = \sqrt{\langle x, x\rangle}.

Let us denote by (e_k)_{k\in\mathbb{N}} the canonical hilbertian basis of H: e_k = (\delta_{kn})_{n\in\mathbb{N}} where δkn is the Kroenecker symbol: δkn = 1 if k = n, 0 otherwise. Thus if x=(x_n)_{n\in\mathbb{N}} is a sequence in H we have:

 x = \sum_{n\in\mathbb{N}} x_ne_n.

An operator on H is a continuous linear map from H to H.[1]The set of (bounded) operators is denoted by \mathcal{B}(H).

The range or codomain of the operator u is the set of images of vectors; the kernel of u is the set of vectors that are anihilated by u; the domain of u is the set of vectors orthogonal to the kernel, ie, the maximal subspace disjoint with the kernel:

  • \mathrm{Codom}(u) = \{u(x),\, x\in H\};
  • \mathrm{Ker}(u) = \{x\in H,\, u(x) = 0\};
  • \mathrm{Dom}(u) = \{x\in H,\, \forall y\in\mathrm{Ker}(u), \langle x, y\rangle = 0\}.

These three sets are closed subspaces of H.

The adjoint of an operator u is the operator u * defined by \langle u(x), y\rangle = \langle x, u^*(y)\rangle for any x,y\in H. Adjointness is well behaved w.r.t. composition of operators:

(uv) * = v * u * .

A projector is an idempotent operator of norm 0 (the projector on the null subspace) or 1, that is an operator p such that p2 = p and \|p\| = 0 or 1. A projector is auto-adjoint and its domain is equal to its codomain.

A partial isometry is an operator u satisfying uu * u = u; this condition entails that we also have u * uu * = u * . As a consequence uu * and uu * are both projectors, called respectively the initial and the final projector of u because their (co)domains are respectively the domain and the codomain of u:

  • Dom(u * u) = Codom(u * u) = Dom(u);
  • Dom(uu * ) = Codom(uu * ) = Codom(u).

The restriction of u to its domain is an isometry. Projectors are particular examples of partial isometries.

If u is a partial isometry then u * is also a partial isometry the domain of which is the codomain of u and the codomain of which is the domain of u.

If the domain of u is H that is if u * u = 1 we say that u has full domain, and similarly for codomain. If u and v are two partial isometries then we have:

  • uv * = 0 iff u * uv * v = 0 iff the domains of u and v are disjoint;
  • u * v = 0 iff uu * vv * = 0 iff the codomains of u and v are disjoint;
  • uu * + vv * = 1 iff the codomains of u and v are disjoint and their their direct sum is H.

Partial permutations

We will now define our proof space which turns out to be the set of partial isometries acting as permutations on the canonical basis (e_n)_{n\in\mathbb{N}}.

More precisely a partial permutation \varphi on \mathbb{N} is a one-to-one map defined on a subset D_\varphi of \mathbb{N} onto a subset C_\varphi of \mathbb{N}. D_\varphi is called the domain of \varphi and C_\varphi its codomain. Partial permutations may be composed: if ψ is another partial permutation on \mathbb{N} then \varphi\circ\psi is defined by:

  • n\in D_{\varphi\circ\psi} iff n\in D_\psi and \psi(n)\in D_\varphi;
  • if n\in D_{\varphi\circ\psi} then \varphi\circ\psi(n) = \varphi(\psi(n));
  • the codomain of \varphi\circ\psi is the image of the domain: C_{\varphi\circ\psi} = \{\varphi(\psi(n)), n\in D_{\varphi\circ\psi}\}.

Partial permutations are well known to form a structure of inverse monoid that we detail now.

Given a a subset D of \mathbb{N}, the partial identity on D is the partial permutation \varphi defined by:

  • D_\varphi = D;
  • \varphi(n) = n for any n\in D_\varphi.

Thus the codomain of \varphi is D.

The partial identity on D will be denoted by 1D. Partial identities are idempotent for composition.

Among partial identities one finds the identity on the empty subset, that is the empty map, that we will denote by 0 and the identity on \mathbb{N} that we will denote by 1. This latter permutation is the neutral for composition.

If \varphi is a partial permutation there is an inverse partial permutation \varphi^{-1} whose domain is D_{\varphi^{-1}} = C_{\varphi} and who satisfies:

\varphi^{-1}\circ\varphi = 1_{D_\varphi}
\varphi\circ\varphi^{-1} = 1_{C_\varphi}

The proof space

Given a partial permutation \varphi one defines a partial isometry u_\varphi by:

u_\varphi(e_n) = 
   \begin{cases}
     e_{\varphi(n)} & \text{ if }n\in D_\varphi,\\
     0              & \text{ otherwise.}
   \end{cases}

In other terms if x=(x_n)_{n\in\mathbb{N}} is a sequence in \ell^2 then u_\varphi(x) is the sequence (y_n)_{n\in\mathbb{N}} defined by:

y_n = x_{\varphi^{-1}(n)} if n\in C_\varphi, 0 otherwise.

We will (not so abusively) write e_{\varphi(n)} = 0 when \varphi(n) is undefined so that the definition of u_\varphi reads:

u_\varphi(e_n) = e_{\varphi(n)}.

The domain of u_\varphi is the subspace spanned by the family (e_n)_{n\in D_\varphi} and the codomain of u_\varphi is the subspace spanned by (e_n)_{n\in C_\varphi}. In particular if \varphi is 1D then u_\varphi is the projector on the subspace spanned by (e_n)_{n\in D}.

Definition

We call p-isometry a partial isometry of the form u_\varphi where \varphi is a partial permutation on \mathbb{N}. The proof space \mathcal{P} is the set of all p-isometries.

Proposition

Let \varphi and ψ be two partial permutations. We have:

u_\varphi u_\psi = u_{\varphi\circ\psi}.

The adjoint of u_\varphi is:

u_\varphi^* = u_{\varphi^{-1}}.

In particular the initial projector of u_{\varphi} is given by:

u_\varphi u^*_\varphi = u_{1_{D_\varphi}}.

and the final projector of u_\varphi is:

u^*_\varphi u_\varphi = u_{1_{C_\varphi}}.

If p is a projector in \mathcal{P} then there is a partial identity 1D such that p= u_{1_D}.

Projectors commute, in particular we have:

u_\varphi u_\varphi^*u_\psi u_\psi^* = u_\psi u_\psi^*u_\varphi u_\varphi^*.

Note that this entails all the other commutations of projectors: u^*_\varphi u_\varphi u_\psi u^*_\psi = u_\psi u^*_\psi u^*_\varphi u_\varphi and u^*_\varphi u_\varphi u^*_\psi u\psi = u^*_\psi u_\psi u^*_\varphi u_\varphi.

In particular note that 0 is a p-isometry. The set \mathcal{P} is a submonoid of \mathcal{B}(H) but it is not a subalgebra.[2]In general given u,v\in\mathcal{P} we don't necessarily have u+v\in\mathcal{P}. However we have:

Proposition

Let u, v\in\mathcal{P}. Then u+v\in\mathcal{P} iff u and v have disjoint domains and disjoint codomains, that is:

u+v\in\mathcal{P} iff uu * vv * = u * uv * v = 0.

Proof.  Suppose for contradiction that en is in the domains of u and v. There are integers p and q such that u(en) = ep and v(en) = eq thus (u + v)(en) = ep + eq which is not a basis vector; therefore u + v is not a p-permutation.

As a corollary note that if u + v = 0 then u = v = 0.

From operators to matrices: internalization/externalization

It will be convenient to view operators on H as acting on H\oplus H, and conversely. For this purpose we define an isomorphism H\oplus H \cong H by x\oplus y\rightsquigarrow p(x)+q(y) where p:H\mapsto H and q:H\mapsto H are partial isometries given by:

p(en) = e2n,
q(en) = e2n + 1.

From the definition p and q have full domain, that is satisfy p * p = q * q = 1. On the other hand their codomains are disjoint, thus we have p * q = q * p = 0. As the sum of their codomains is the full space H we also have pp * + qq * = 1.

Note that we have choosen p and q in \mathcal{P}. However the choice is arbitrary: any two p-isometries with full domain and disjoint codomains would do the job.

Given an operator u on H we may externalize it obtaining an operator U on H\oplus H defined by the matrix:

U = \begin{pmatrix}
  u_{11} & u_{12}\\
  u_{21} & u_{22}
  \end{pmatrix}

where the uij's are given by:

u11 = p * up;
u12 = p * uq;
u21 = q * up;
u22 = q * uq.

The uij's are called the external components of u. The externalization is functorial in the sense that if v is another operator externalized as:

V = \begin{pmatrix}
  v_{11} & v_{12}\\
  v_{21} & v_{22}
  \end{pmatrix} 
= \begin{pmatrix}
  p^*vp & p^*vq\\
  q^*vp & q^*vq
  \end{pmatrix}

then the externalization of uv is the matrix product UV.

As pp * + qq * = 1 we have:

u = (pp * + qq * )u(pp * + qq * ) = pu11p * + pu12q * + qu21p * + qu22q *

which entails that externalization is reversible, its converse being called internalization.

If we suppose that u is a p-isometry then so are the components uij's. Thus the formula above entails that the four terms of the sum have pairwise disjoint domains and pairwise disjoint codomains from which we deduce:

Proposition

If u is a p-isometry and uij are its external components then:

  • u1j and u2j have disjoint domains, that is u_{1j}^*u_{1j}u_{2j}^*u_{2j} = 0 for j = 1,2;
  • ui1 and ui2 have disjoint codomains, that is u_{i1}u_{i1}^*u_{i2}u_{i2}^* = 0 for i = 1,2.

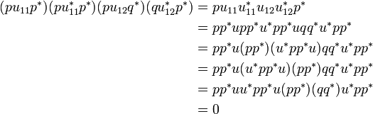
As an example of computation in \mathcal{P} let us check that the product of the final projectors of pu11p * and pu12q * is null:

\begin{align}
    (pu_{11}p^*)(pu^*_{11}p^*)(pu_{12}q^*)(qu_{12}^*p^*)
    &= pu_{11}u_{11}^*u_{12}u_{12}^*p^*\\
    &= pp^*upp^*u^*pp^*uqq^*u^*pp^*\\
    &= pp^*u(pp^*)(u^*pp^*u)qq^*u^*pp^*\\
    &= pp^*u(u^*pp^*u)(pp^*)qq^*u^*pp^*\\
    &= pp^*uu^*pp^*u(pp^*)(qq^*)u^*pp^*\\
    &= 0
  \end{align}

where we used the fact that all projectors in \mathcal{P} commute, which is in particular the case of pp * and u * pp * u.

Notes and references

  1. Continuity is equivalent to the fact that operators are bounded, which means that one may define the norm of an operator u as the sup on the unit ball of the norms of its values:
    \|u\| = \sup_{\{x\in H,\, \|x\| = 1\}}\|u(x)\|.
  2. \mathcal{P} is the normalizing groupoid of the maximal commutative subalgebra of \mathcal{B}(H) consisiting of all operators diagonalizable in the canonical basis.
Personal tools