List of isomorphisms

From LLWiki
Jump to: navigation, search

Contents

Linear negation


\begin{array}{rclcrcl}
  A\biorth &\cong& A\\
  (A\tens B)\orth &\cong& A\orth\parr B\orth &\quad& \one\orth  &\cong& \bot\\
  (A\parr B)\orth &\cong& A\orth\tens B\orth &\quad& \bot\orth  &\cong& \one\\
  (A\with B)\orth &\cong& A\orth\plus B\orth &\quad& \top\orth  &\cong& \zero\\
  (A\plus B)\orth &\cong& A\orth\with B\orth &\quad& \zero\orth &\cong& \top\\
  (\oc A)\orth &\cong& \wn A\orth\\
  (\wn A)\orth &\cong& \oc A\orth\\
\end{array}

Neutrals


\begin{array}{rcl}
  A\tens\one  &\cong& \one\tens A\cong A\\
  A\parr\bot  &\cong& \bot\parr A\cong A\\
  A\with\top  &\cong& \top\with A\cong A\\
  A\plus\zero &\cong&\zero\plus A\cong A\\
\end{array}

Commutativity


\begin{array}{rcl}
  A\tens B &\cong& B\tens A\\
  A\parr B &\cong& B\parr A\\
  A\with B &\cong& B\with A\\
  A\plus B &\cong& B\plus A\\
\end{array}

Associativity


\begin{array}{rcl}
  (A\tens B)\tens C &\cong& A\tens(B\tens C)\\
  (A\parr B)\parr C &\cong& A\parr(B\parr C)\\
  (A\with B)\with C &\cong& A\with(B\with C)\\
  (A\plus B)\plus C &\cong& A\plus(B\plus C)\\
\end{array}

Multiplicative-additive distributivity


\begin{array}{rclcrcl}
  A\tens(B\plus C) &\cong& (A\tens B)\plus(A\tens C) &\quad&
  A\tens\zero &\cong& \zero\\
  A\parr(B\with C) &\cong& (A\parr B)\with(A\parr C) &\quad&
  A\parr\top &\cong& \top\\
\end{array}

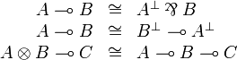
Linear implication


\begin{array}{rclcrcl}
  A\limp B &\cong& A\orth\parr B\\
  A\limp B &\cong& B\orth\limp A\orth\\
  A\tens B \limp C &\cong& A\limp B \limp C\\
\end{array}

The exponential isomorphisms


\begin{array}{rclcrcl}
  \oc(A\with B) &\cong& \oc A\tens\oc B &\quad& \oc\top &\cong& \one\\
  \wn(A\plus B) &\cong& \wn A\parr\wn B &\quad& \wn\zero &\cong& \bot\\
\end{array}

Quantifiers


\begin{array}{rclcrcl}
  \forall \xi_1. \forall\xi_2. A &\cong& \forall\xi_2. \forall\xi_1. A\\
  \exists \xi_1. \exists\xi_2.A &\cong& \exists\xi_2.\exists\xi_1.A\\
\\
  \forall \xi . (A \parr B) &\cong& A \parr \forall \xi.B \quad (\xi\notin A) \\
  \exists \xi . (A \tens B) &\cong& A \tens \exists \xi.B \quad (\xi\notin A) \\
\\
  \forall \xi . (A \with B) &\cong& (\forall \xi . A) \with (\forall \xi . B) & & \forall \xi . \top &\cong& \top \\
  \exists \xi . (A \plus B) &\cong& (\exists \xi . A) \plus (\exists \xi . B) & & \exists \xi . \zero &\cong& \zero
\end{array}

Personal tools