Provable formulas

From LLWiki
(Difference between revisions)
Jump to: navigation, search
(Added formules from Semantics page)
m (\limp instead of \longrightarrow)
Line 17: Line 17:
 
<math>
 
<math>
 
\begin{array}{rcl}
 
\begin{array}{rcl}
A\with B \longrightarrow A &\quad& A\with B \longrightarrow B\\
+
A\with B \limp A &\quad& A\with B \limp B\\
(C\limp A)\with(C\limp B) &\longrightarrow& C\limp(A\with B)\\
+
(C\limp A)\with(C\limp B) &\limp& C\limp(A\with B)\\
A &\longrightarrow& A\with A\\
+
A &\limp& A\with A\\
A \longrightarrow A\plus B &\quad& B \longrightarrow A\plus B\\
+
A \limp A\plus B &\quad& B \limp A\plus B\\
(A\limp C)\with(B\limp C) &\longrightarrow& (A\plus B)\limp C\\
+
(A\limp C)\with(B\limp C) &\limp& (A\plus B)\limp C\\
A\plus A &\longrightarrow& A\\
+
A\plus A &\limp& A\\
 
\end{array}
 
\end{array}
 
</math>
 
</math>
Line 32: Line 32:
 
<math>
 
<math>
 
\begin{array}{rclcrcl}
 
\begin{array}{rclcrcl}
\oc A &\longrightarrow& A &\quad& A&\longrightarrow&\wn A\\
+
\oc A &\limp& A &\quad& A&\limp&\wn A\\
\oc A &\longrightarrow& 1 &\quad& \bot &\longrightarrow& \wn A\\
+
\oc A &\limp& 1 &\quad& \bot &\limp& \wn A\\
\oc A &\longrightarrow& \oc A\tens\oc A &\quad&
+
\oc A &\limp& \oc A\tens\oc A &\quad&
\wn A\parr\wn A &\longrightarrow& \wn A\\
+
\wn A\parr\wn A &\limp& \wn A\\
\oc A &\longrightarrow& \oc\oc A &\quad& \wn\wn A &\longrightarrow& \wn A\\
+
\oc A &\limp& \oc\oc A &\quad& \wn\wn A &\limp& \wn A\\
 
\end{array}
 
\end{array}
 
</math>
 
</math>
Line 44: Line 44:
 
<math>
 
<math>
 
\begin{array}{rclcrcl}
 
\begin{array}{rclcrcl}
\oc A\tens\oc B &\longrightarrow& \oc(A\tens B) &\quad&
+
\oc A\tens\oc B &\limp& \oc(A\tens B) &\quad&
\one &\longrightarrow& \oc\one\\
+
\one &\limp& \oc\one\\
 
\end{array}
 
\end{array}
 
</math>
 
</math>

Revision as of 22:05, 25 April 2013

This page is a stub and needs more content.


In many of the cases below the converse implication does not hold.

Contents

Distributivities

A\plus (B\with C) \limp (A\plus B)\with (A\plus C)

A\tens (B\parr C) \limp (A\tens B)\parr C

Factorizations

(A\with B)\plus (A\with C) \limp A\with (B\plus C)

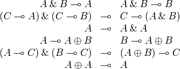
Additive structure


\begin{array}{rcl}
  A\with B \limp A &\quad& A\with B \limp B\\
  (C\limp A)\with(C\limp B) &\limp& C\limp(A\with B)\\
  A &\limp& A\with A\\
  A \limp A\plus B &\quad& B \limp A\plus B\\
  (A\limp C)\with(B\limp C) &\limp& (A\plus B)\limp C\\
  A\plus A &\limp& A\\
\end{array}

Exponential structure

Provable formulas involving exponential connectives only provide us with the lattice of exponential modalities.


\begin{array}{rclcrcl}
  \oc A &\limp& A &\quad& A&\limp&\wn A\\
  \oc A &\limp& 1 &\quad& \bot &\limp& \wn A\\
  \oc A &\limp& \oc A\tens\oc A &\quad& 
  \wn A\parr\wn A &\limp& \wn A\\
  \oc A &\limp& \oc\oc A &\quad& \wn\wn A &\limp& \wn A\\
\end{array}

Monoidality of exponential


\begin{array}{rclcrcl}
  \oc A\tens\oc B &\limp& \oc(A\tens B) &\quad&
  \one &\limp& \oc\one\\
\end{array}

Personal tools