Provable formulas
From LLWiki
Important provable formulas are given by isomorphisms and by equivalences.
In many of the cases below the converse implication does not hold.
Contents |
Distributivities
Standard distributivities
Linear distributivities
Factorizations
Identities
Additive structure
Quantifiers
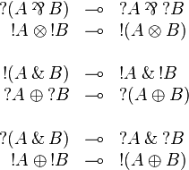
Exponential structure
Provable formulas involving exponential connectives only provide us with the lattice of exponential modalities.
Monoidality of exponentials
Promotion principles
Commutations