List of equivalences

From LLWiki
Revision as of 22:03, 27 July 2017 by Olivier Laurent (Talk | contribs)

(diff) ← Older revision | Latest revision (diff) | Newer revision → (diff)
Jump to: navigation, search

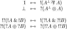
Each isomorphism gives an equivalence of formulas. The following equivalences are not isomorphisms.

Contents

Multiplicatives


\begin{array}{rcccl}
A &\linequiv& A \tens (A\orth\parr A) &\linequiv& (A\tens A\orth)\parr A \\
& & A\parr A\orth &\linequiv& (A\parr A\orth)\tens(A\parr A\orth)
\end{array}

Additives


\begin{array}{rclcrcl}
A \with A &\linequiv& A \\
A \plus A &\linequiv& A \\
\\
  A \with (A \plus B) &\linequiv& A &\quad& A \plus \top &\linequiv& \top \\
  A \plus (A \with B) &\linequiv& A &\quad& A \with \zero &\linequiv& \zero
\end{array}

Quantifiers


\begin{array}{rcll}
  \forall X.A &\linequiv& A &\quad (X\notin A) \\
  \exists X.A &\linequiv& A &\quad (X\notin A)
\end{array}

Exponentials


\begin{array}{rclcrcl}
  \oc A &\linequiv& \oc A\tens\oc A &\quad& 
  \wn A &\linequiv& \wn A\parr\wn A\\
  \oc A &\linequiv& \oc\oc A &\quad& \wn A &\linequiv& \wn\wn A\\
  \oc\wn A &\linequiv& \oc\wn\oc\wn A &\quad& \wn\oc A &\linequiv& \wn\oc\wn\oc A\\
\end{array}

Some of these equivalences are related with the lattice of exponential modalities.

Polarities

 \wn N \linequiv N   (N negative)
 \oc P \linequiv P   (P positive)
 \wn\oc R \linequiv R   (R regular)
 \oc\wn L \linequiv L   (L co-regular)

Second order encodings


\begin{array}{rclcrcl}
  A &\linequiv &\forall X . (A \tens X\orth) \parr X \\
  A &\linequiv &\exists X . (A \parr X\orth) \tens X \\
\\
  A \with B &\linequiv& \exists X . \oc{(A \parr X\orth)} \tens \oc{(B \parr X\orth)} \tens X &\quad& \top &\linequiv& \exists X . X \\
  A \plus B &\linequiv& \forall X . \wn{(A \tens X\orth)} \parr \wn{(B \tens X\orth)} \parr X &\quad& \zero &\linequiv& \forall X . X \\
\\
 \bot &\linequiv& \exists X . X\tens X\orth \\
 \one &\linequiv& \forall X . X\orth\parr X \\
\\
  \forall \xi . A &\linequiv& \exists X . (\forall \xi . (A \parr X\orth)) \tens X \\
  \exists \xi . A &\linequiv& \forall X . (\exists \xi . (A \tens X\orth)) \parr X
\end{array}

Miscellaneous


\begin{array}{rcl}
  \one &\linequiv& \oc{(A\orth\parr A)} \\
  \bot &\linequiv& \wn{(A\orth\tens A)} \\
\\
  \oc{\wn{(\oc{A}\with\oc{B})}} &\linequiv& \oc{(\wn{\oc{A}}\with\wn{\oc{B}})} \\
  \wn{\oc{(\wn{A}\plus\wn{B})}} &\linequiv& \wn{(\oc{\wn{A}}\plus\oc{\wn{B}})}
\end{array}

Personal tools